GB/T 25915《洁净室及相关受控环境-1:空气洁净度等级》发布,3月1日起实施
- 2023-02-07
- 5751
- 深圳市亿天净化技术有限公司
近日,国家标准委发布了GB/T 25915.1-2021《洁净室及相关受控环境-1:空气洁净度等级》,该文件修改采用ISO 14644-1 :2015《 洁净室及相关受控环境第1 部分: 按粒子浓度划分空气洁净度等级》,将代替 GB/T 25915 .1-2010 《洁净室及相关受控环境第1部分:空气洁净度等级》,于2022年3月1日实施!
文件解读如下:
关于洁净度测试采样点数量的要求,文件删除基于面积计算采样点数的计算公式,而是预先给定一张针对不同房间面积所对应的采样点数的表格:

对于房间面积≥636平方(ISO14644:2015为>1000平方)的,通过下列公式计算(公式与ISO14644:2015不同):
删除对粒浓度进行UCL/LCL计算的要求
文件给出了确定单次采样量和各点的采样时间的方法:所选最大粒径的粒子浓度恰好为规定的ISO 级别上限时,在各采样点所采的空气量足以检测到至少20个粒子。每个采样点的单次采样量VS,按公式(A.2)计算。
每一采样点的采样量至少为2L,每一采样点单次采样的最小采样时间为1 min,每一采样点的每次采样量应一致。
删除ISO 5(A级)5.0um粒子的限度标准:

关于监测仪器(粒子计数器),要求按照GB/T 29024.4-2017(等同采用ISO 21501-4:2007,而ISO最新版本为ISO 21501-4:2018)进行校准。
文件将于2022年3月1日实施。
全文如下:

1范围
本文件规定了按空气中悬浮粒子浓度划分洁净室、洁净区、GB/T25915.7 所述的隔离装置中的空气洁净度等级。
本文件适用于粒径挡下限为0.1μm~5μm 的颗粒物累积计数分布及其粒子浓度的监测。
超细粒子(5μm)的粒子浓度,用 M 描述符对其量化。
本文件不适用于表征空气悬浮粒子的物理性、化学性、放射性、生物活性或其他特性。
2规范性引用文件
下列文件中的内容通过文中的规范性引用而构成本文件必不可少的条款。其中,注日期的引用文件,仅该日期对应的版本适用于本文件;不注日期的引用文件,其最新版本(包括所有的修改单)适用于本文件。
3术语和定义
下列术语和定义适用于本文件。
3.1 基本
3.1.1
洁净室 cleanroom
空气悬浮粒子浓度受控并分级的房间,其设计、建造到运行均使进入、产生、滞留于房间的粒子受控。
注1:规定了按空气悬浮粒子浓度划分的级别。
注2:也可对影响洁净度等级的其他因素,如空气中化学物、微生物或纳米尺度粒子浓度等,以及影响表面洁净度等
级的其他因素,如粒子、纳米粒子、化学物或微生物浓度等,作出规定并进行控制。
注3:温度、湿度、压力、振动和静电等相关的物理参数,也可按要求受控。
3.1.2
洁净区 cleanzone
空气悬浮粒子计数浓度受控并分级的限定空间。其建造和运行使进入、产生和滞留于空间的粒子受控。
注1:空气悬浮粒子浓度的级别已确定。
注2:也可对影响洁净度等级的其他因素,如空气中化学物、微生物或纳米尺度粒子浓度等,以及影响表面洁净度等
级的其他因素,如粒子、纳米粒子、化学物或微生物浓度等,作出规定并进行控制。
注3:洁净区可以是限定于洁净室内的空间,也可用隔离装置实现。隔离装置既可设在洁净室内也可在洁净室外。
注4:温度、湿度、压力、振动和静电等相关的物理参数,也可按要求受控。
3.1.3
设施 instalation
连同所有相关构筑物、空气处理系统、供给和公用设施的洁净室或一个、多个洁净区。
3.1.4
分级 classification
按技术要求评定洁净室或洁净区洁净度水平的方法。
注:洁净度水平应以ISO 等级浓度来描述,它代表单位容积空气内最大允许粒子浓度。
3.2空气悬浮粒子
3.2.1
粒子 particle
具有规定物理边界的微小物质。
3.2.2
粒径 particlesize
给定粒径测定仪测得的、与被测粒子响应量相当的球体直径。
注:光散射离散粒子计数仪给出的是光学等效直径。
3.2.3
粒子浓度 particleconcentration
单位体积空气中粒子的个数。
3.2.4
粒径分布 particlesizedistribution
以累积分布表示的粒子浓度与粒径的函数关系。
3.2.5
大粒子 macroparticle
当量直径大于5μm 的粒子。
3.2.6
M描述符 Mdescriptor
实测或规定的每立方米空气中大粒子浓度,其中的当量粒径与测量方法有关。
注:M 描述符可视作采样点平均值的上限。不能用M 描述符表示ISO 洁净度等级,但 M 描述符可以单独引用或与ISO 洁净度等级一起引用。
3.2.7
单向流 unidirectionalairflow
通过洁净室或洁净区整个断面,风速稳定且平行的受控气流。
3.2.8
非单向流 non-unidirectionalairflow
洁净室或洁净区的送风以诱导方式与室内空气混合的气流分布。
3.3占用状态
3.3.1
空态 as-built
洁净室或洁净区所有服务设施就位并运行,但无设备、家具、材料和人员的状态。 3.3.2
静态 at-rest
洁净室或洁净区建成且设备就位,按议定的方式运行,但无人员在场的状态。
3.3.3
动态 operational
洁净室或洁净区设施按议定方式运行,且有规定数量的人员按议定方式工作的状态。
3.4 检测仪器
3.4.1
分辨率 resolution
可被测量的最小变量,即在相应显示中产生的、可辨认的变化。
注:噪声(内、外部)或摩擦等因素可决定分辨率,被测的量值也可决定分辨率。
[来源:ISO/IEC Guide99:2007,4.14]
3.4.2
最大允许测量误差 maximum permissiblemeasurement error
对一项具体测量、或对测量仪或测量系统,相对于已知参照量值,技术条件或规范所允许的测量误差极值。
注1:在有两个极限值时,通常用术语“最大允许误差”或“误差限值”予以区分。
注2:“公差”不可用于表示“最大允许误差”。
[来源:ISO/IEC Guide99:2007,4.26]
3.5仪器规格
3.5.1
光散射(离散式)空气悬浮粒子计数器 light scattering(discrete)airborne particle counter; LSAPC
依据粒子的光学等效直径,对空气中单个粒子进行计数和测径的仪器。
注:GB/T29024.4—2017给出了LSAPC 的规格。
3.5.2
离散大粒子计数器 discrete-macroparticlecounter
能够对空气中单个大粒子计数和测径的仪器。
注:其技术规格见附录F中表F.1。
3.5.3
飞行时间测径仪 time-of-flightparticlesizingapparatus
以粒子适应风速变化的时间来测定其空气动力学直径的离散粒子计数、测径装置。
注1:通常借助光学方法测量流体速度变化后粒子的移动时间。
注2:其技术规格见表F.2。
4分级
4.1占用状态
应规定在“空态”“静态”和“动态”的某种或某几种占用状态下(见3.3),对洁净室或洁净区按空气中粒子浓度进行分级。
4.2粒径
当按粒子浓度划分空气洁净度等级时,范围为0.1μm~5μm 的一个或几个粒径挡阈值(低值)。
4.3 ISO等级数
按粒子浓度划分的空气洁净度应标识为ISO N 级。每个关注粒径的最大允许浓度见表1。
表1中不同粒径阈值的粒子浓度数目仅作为分级标准,并不反映空气中真实的粒径和数量分布。
附录B 中列举了几个分级计算实例。
表1 按粒子浓度划分的空气洁净度ISO级别

4.4 表示方法
洁净室或洁净区内悬浮粒子浓度的表示方法应包括:
a) 以“ISO N 级”表示的ISO 等级数;
b) 分级时的占用状态;
c) 关注粒径。
如果关注粒径不止一个,较大粒径(D2)应至少是下个较小粒径(D1)的1.5 倍,即D2≥1.5×D1。
示例见表2。
表2 关注粒径示例表
4.5 非整数洁净度等级和粒径阈值
当需要非整数等级,或整数和非整数等级需要表1中未列出的粒径挡时,见附录E。
5 符合性的证明
5.1 原则
完成规定的检测程序,并提供检测条件和结果的相关文件,以此认证是否符合用户规定的空气洁净度(ISO 等级数)要求。
静态和动态的分级通常依据风险评估情况每年进行。
对洁净室、洁净区和隔离装置的监测,应按照GB/T25915.2—2021。
注:设施配备了连续或频繁监测粒子浓度和其他性能参数的仪器时,若监测结果保持在规定的监测限值内,分级检测时间间隔可以延长。
5.2 检测
附录 A 中给出了符合性检测的基准方法,也可以指定其他至少具备同等准确性的方法和(或)仪器。如无规定或议定的替代方法,应采用基准方法。
应采用校准有效期内的仪器进行符合性认证检测。
5.3 悬浮粒子浓度计算
按附录A 完成检测后,每个采样点单次采样量的粒子浓度(以每立方米的粒子数目表示)不应超过表1中相应粒径的浓度限值或表E.1中相应粒径的非整数等级的浓度限值。如果在采样点进行了多次采样,浓度应取平均值并且平均浓度不得超过表1或表E.1给出的浓度限值。非表列粒径应由公式(E.1)计算得出。
为确定ISO 等级,所有关注粒径粒子浓度应采用相同方法检测。
5.4 检测报告
各洁净室或洁净区的检测结果均应记录在案,以综合报告形式提交,并说明是否符合规定的按粒子浓度划分的空气洁净度等级。
检测报告应包括下述内容:
检测机构的名称、地址和检测完成的日期;
本文件编号,如 ;
清楚地标明被测洁净室或洁净区的实际位置(必要时包括毗邻的参照区)及所有采样点的坐标(宜附图);
规定的洁净室或洁净区表示法,其中包括ISO 等级数、相关的占用状态和关注粒径;
检测方法的详细说明,包括与检测有关的特殊条件或对检测方法的偏离情况,及检测仪器的型号标识和当前的校准证书;
检测结果,含全部采样点的粒子浓度数据;
如果大粒子的浓度已参照附录C 的说明作了量化,相关的信息也应包含在检测报告中。
附 录 A
(规范性)
按粒子浓度划分空气洁净度的基准方法
A.1 原理
使用离散粒子计数器在指定的采样点测定大于或等于规定粒径的空气悬浮粒子浓度。
A.2 仪器要求
A.2.1 粒子计数器
粒子计数器应具有粒径分辨能力,能显示或记录空气中粒子数量和粒径大小,可依据洁净度等级,测定粒子合适粒径范围内总浓度。
注:通常用光散射(离散)空气悬浮粒子计数器进行空气洁净度分级检测。
A.2.2 仪器校准
粒子计数器应有有效的校准证书,校准频度和校准方法应符合GB/T 29024.4—2017的要求。
注:某些粒子计数器不能用GB/T29024.4—2017所规定方法校准。此情况下,检测报告中应记录使用该计数器的决定。
A.3 粒子计数检测的准备工作
检测前,确保洁净室或洁净区密封性相关的所有各项均已调试完成并按性能要求运行。
宜注意洁净室性能辅助检测的顺序,检测目录见GB/T25915.3。
A.4 确定采样点
A.4.1 获取采样点数目
最少数目采样点NL 见表 A.1。
表A.1 洁净室中采样点数目与面积的关系

A.4.2 确定采样点位置
按以下步骤确定采样点位置:
在表A.1 查到最小采样点数目 NL ;
将整个洁净室或洁净区分成面积相等的NL 个区域;
在每个区域选择一个具有代表性的位置作为采样位置;
在每个采样位置上,将粒子计数器的探头置于工作面高度或其他指定位置。
关键位置处可增加采样点,其数量和位置也应商定并说明。
增加的采样区域及其相应采样点可计算在总采样点数内,以便将洁净室或洁净区划分为相等采样区域。
非单向流洁净室或洁净区中,位于无扩散装置的送风口正下方的采样点不具有代表性。
A.4.3 大型洁净室或洁净区的采样点
当洁净室或洁净区的面积大于636 m2时,应按公式(A.1)算出最小采样点数目。
A.4.4 确定单次采样量和各点的采样时间
所选最大粒径的粒子浓度恰好为规定的ISO 级别上限时,在各采样点所采的空气量足以检测到至少20个粒子。
每个采样点的单次采样量VS,按公式(A.2)计算。
每一采样点的采样量至少为2L,每一采样点单次采样的最小采样时间为1 min,每一采样点的每次采样量应一致。
当VS 很大时,所需采样时间较长。此时可采用序贯采样法(见附录D)以减少所需的采样量及采样时间。
A.5 采样步骤
A.5.1 依据产品说明书调整粒子计数器(见A.2),包括零计数率校核。
A.5.2 采样探头应放置在朝向气流的方向。被采样气流方向是不可控制或不可预测时(例如非单向气流),采样探头的开口应垂直向上。
A.5.3 确定采样前所选定的占用状态已达到规定条件。
A.5.4 按 A.4.4中规定的每个采样点单次最小采样量进行采样。
A.5.5 某个采样点发现非正常情况引起的异常计数时,经验明后可以剔除该计数并在检测报告中予以说明,然后重新采样。
A.5.6 某个采样点的不合格计数是由洁净室或设备的技术故障引起时,宜查明原因,采取补救措施,并对该点及其周围相邻点或受其影响的其他采样点进行复测。此情况应清楚地记录并说明合理性。
A.6 结果处理
A.6.1 结果记录
记录每次采样测量的结果,即相应ISO 空气洁净度等级所关注粒径的每个单次采样量中粒子数。
注:对于带有浓度计算模式的粒子计数器,无需手动计算。
A.6.1.1 每个采样点的平均粒子浓度
在某个点进行两次及以上采样时,依据各单次采样的粒子浓度,按公式(A.3)计算并记录该点关注粒径的平均粒子数目。
A.6.1.2 单位立方米粒子浓度
单位立方米粒子浓度按公式(A.4) 计算。
A.6.2 结果说明
A.6.2.1 分级要求
每一采样位置测量的粒子浓度(粒/m3)均不超过表1 规定的浓度限值时,判定所测洁净室或洁净区符合规定空气洁净度级别要求。
使用附录E 所述的非整数洁净度等级或其他非规定测试粒径时,宜使用表E.1或公式(E.1)确定适当限值。
A.6.2.2 不合格的异常结果
对不合格计数的情形,应进行调查。检测报告中应注明调查结果和所采取的补救措施(见5.4)。
附 录 B
(资料性)
等级划分计算实例
B.1 示例1
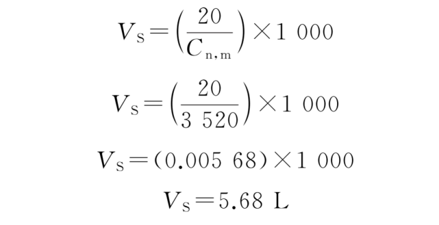
B.1.1 某个洁净室占地面积18 m2,规定洁净度级别为动态ISO5 级。使用采样流量为28.3L/min的离散粒子计数器进行分级测试。2 个关注粒径分别为:D≥0.3μm 和D≥0.5μm。
查表 A.1,采样点数NL 为6。
B.1.2 从表1查得ISO5级的粒子浓度限值为:
B.1.3 用公式(A.2)可计算出所需的单次采样量为:

算得的单次采样量为5.68L。由于所使用的离散粒子计数器每分钟的采样流量是28.3L/min,采样1 min的采样量符合要求(见A.4.4),所以每次采样的采样量定为28.3L。
注:在A.4.4 中,通过如上所述的步骤计算最小采样量,然后确定粒子计数器运行1 min 对应的采样量。每个点的采样至少持续1 min;当1 min内的采样足以满足最小采样量要求时,则1 min 到后可结束采样。 当所用仪器 1 min内的采样量不足以满足最小采样量要求时,需以分钟(min)为单位继续采样且至满足最小采样量要求为止。由于有几种不同采样流量的粒子计数器,在此提醒使用者,在确定采样时间既满足1 min 要求也满足计算的最小采样量时,核对所用具体仪器的采样流量。
B.1.4 每个点只进行一次采样。在每个采样点处各个粒径对应的每立方米粒子数目xi 的计算如表B.1和表B.2所示。
表 B.1 ≥0.3 μm 粒子的采样数据

表 B.2 ≥0.5 μm 粒子的采样数据

B.1.5 如表B.1和表B.2所示,D≥0.5μm 粒子的每一个浓度值都小于10200个/m3 的限值,D≥0.5μm的每一个浓度值都小于3520 个/m3 的限值;因此该洁净室按粒子浓度划分的空气洁净度达到所要求的ISO 等级。
B.2 示例2
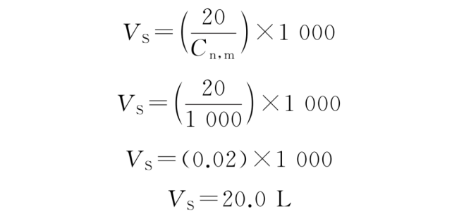
B.2.1 某个洁净室占地面积9 m2,洁净度级别规定为动态ISO3 级,使用采样流量为50.0L/min的离散粒子计数器进行分级测试。关注粒径只有一个(D≥0.1μm)。
查表 A.1,采样点数NL 取5。
B.2.2 从表1 查得ISO3 级对应≥0.1μm 的粒子浓度限值为:
B.2.3 从公式(A.2)可算出单次采样量要求为:

计算得出的单次采样量为20.0L,因此所使用的50.0L/min的离散粒子计数器采样1 min 的采样量符合要求(见 A.4.4)。所以50.0L 即作为每个单次采样的采样量。
B.2.4 在每个采样点只采样一次。每个采样点每立方米的粒子数目xi 的计算如表B.3 所示。
表B.3 ≥0.1μm粒子的采样数据

B.2.5 D≥0.1μm 粒子的每个浓度值都小于表1 中规定的1000 个/m3 的限值;因此该洁净室按粒子浓度划分的空气洁净度达到所要求的ISO 等级。
B.3 示例3
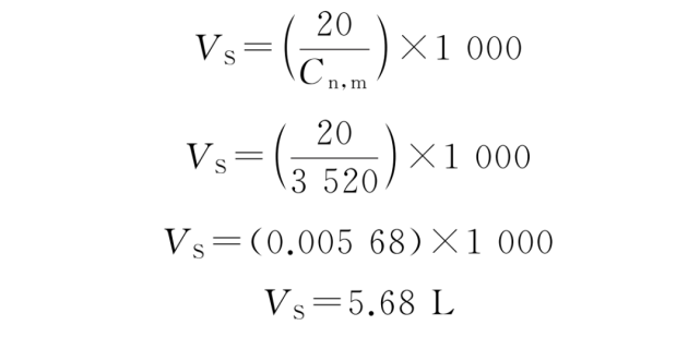
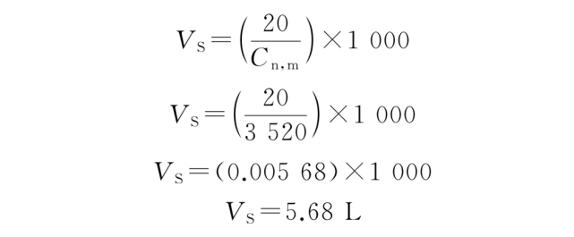
B.3.1 某一个洁净室占地面积64 m2,洁净度级别规定为动态ISO5 级,使用采样流量为28.3L/min的离散粒子计数器进行分级测试。关注粒径只有一个(D≥0.5μm)。
查表 A.1,采样点数NL 取12。
B.3.2 从表1 查得ISO5 级对应≥0.5μm 的粒子浓度限值为:
B.3.3 从公式(A.2)可算出所要求的单次采样量为:

计算出的单次采样量为5.68L。由于所用的28.3L/min 离散粒子计数器1 min 的采样量符合要求(见A.4.4),所以将28.3L 即作为每个单次采样的采样量。
B.3.4 在每个采样点只采样一次。每个采样点每立方米的粒子数xi 的计算如表B.4 所示。
表 B.4 ≥0.5 μm 粒子的采样数据

B.3.5 D=0.5μm 粒子的每个浓度值都小于表1 中规定的3520 个/m3 的限值;因此该洁净室按粒子浓度划分的空气洁净度达到所要求的ISO 等级。
B.4 示例4
B.4.1 某个洁净室占地面积25 m2,洁净度级别规定为动态ISO5 级,使用采样流量为28.3L/min 的离散粒子计数器进行分级测试。关注粒径只有一个(D≥0.5μm)。
查表 A.1,采样点数NL 取7。
B.4.2 从表1 查得ISO5 级对应≥0.5μm 的粒子浓度限值为:
B.4.3 从公式(A.2)可算出所要求的单次采样量为:

算出的单次采样量为5.68L。由于所用的28.3L/min 离散粒子计数器1 min 的采样量符合要求(见A.4.4),所以将28.3L 即作为每个单次采样的采样量。
B.4.4 查表A.1,采样点数NL 取7。但在本例中,客户和供应商商定另外增加3个采样点,总共10个。
每个点进行的单次采样次数为1次~3次。
B.4.5 由于记录的原因,每个采样点每立方米的粒子数(浓度)xi 将以每个点单位采样量(28.3L)的平均计数(28.3×35.3)进行计算,如表B.5所示。
表B.5 ≥0.5μm粒子的采样数据

B.4.6 在4 号采样点,采样的平均浓度4165 个/m3 超出了ISO5 级限值3520(个/m3 )。 在3 号和9号采样点,尽管这两点的平均粒子浓度符合表1中规定的限值,但是每个点各有一次采样的粒子浓度数据超出了表1中所规定的限值。由于4号采样点的粒子浓度不符合洁净度要求,因此该洁净室按粒子浓度划分的空气洁净度未达到所要求的ISO 等级。
B.5 示例5
B.5.1 某个洁净室占地面积10.7 m2,洁净度级别规定为动态ISO7.5级,使用采样流量为28.3L/min的离散粒子计数器进行分级测试。 关注粒径只有一个(D≥0.5μm)。
查表 A.1,采样点数NL 取6。
B.5.2 从表E.1查得ISO7.5级的粒子浓度限值为:
B.5.3 从公式(A.2)可算出所要求的单次采样量为:
算出的单次采样量为0.01799L。由于所用的28.3L/min离散粒子计数器1min的采样量符合要求(见A.4.4),所以将28.3L 即作为每个单次采样的采样量。
B.5.4 每个点进行的单次采样次数为1 次~3 次。每个采样点每立方米的粒子数(浓度)xi 的计算如表B.6所示。
表 B.6 ≥0.5 μm 粒子的采样数据

B.5.5 在4 号采样点,第三次采样的浓度1222507 个/m3 (34632 ×35.3)超出了ISO7.5 级限值1110000(个/m3)。可是并不要求每个单次采样的粒子浓度都符合表1 中所规定的限值。由于各采样点的平均粒子浓度要符合表1中所规定的限值要求,因此该洁净室按粒子浓度划分的空气洁净度达到所要求的ISO 等级。
附 录 C
(资料性)
悬浮大粒子的计数和测径
C.1 原理
某些情况下,特别是与特定的工艺要求有关的情况下,可依据表列等级粒径范围之外的粒子总体,规定空气洁净度。用户和供应商应就这类粒子的最大允许浓度和验证的检测方法等问题达成一致。C.2中给出了有关检测方法的要点以及规定的技术表述格式。
C.2 大于5μm粒子(大粒子)———M 描述符
C.2.1 应用
如果要评定大于5μm 的粒子造成的污染风险,宜采用适合于这类粒子具体特性的采样装置和测量程序。
阈值粒径分布在5μm~20μm 的悬浮粒子浓度的测量,可在三种规定状态(空态、静态和动态)下进行。
空气悬浮粒子总体中的大粒子主要是工艺环境中释放出的粒子。宜根据具体的应用情况来确定适用的采样装置和测量程序。需要考虑的因素有粒子的密度、形状、体积和空气动力学特性,也有可能需要侧重于整个悬浮粒子总体中如纤维等的特殊成分。
C.2.2 M 描述符的格式
描述符既可单独引用,也可当作按粒子浓度划分的空气洁净度级别的补充信息。
描述符的格式表示为: “ISO M(a;b);c”
其中:
a——— 大粒子的最大允许浓度(以每立方米中大粒子数目表示);
b——— 与测量大粒子的规定方法相关的当量直径(或直径)(以微米表示);
c——— 规定的测量方法。
示例1:使用光散射尘埃粒子计数器(LSAPC)进行测量,粒径范围为≥5μm 的悬浮粒子浓度为29p/m3 ,则其描述符写为“ISO M(29;≥5μm);LSAPC”。
示例2:使用气溶胶粒子飞行时间计数器测定粒子的空气动力学直径,粒径范围为>10μm 的悬浮粒子浓度为 2500p/m3 ,则其描述符写为“ISOM(2500;≥10μm),气溶胶粒子飞行时间计数器”。
示例3:使用串级撞击取样器,然后再用显微法测径并计数,粒径范围为10μm~20μm 的悬浮粒子的浓度为1000p/m3 ,则其描述符写为“ISO M(1000;10μm~20μm),串级撞击器,显微法测径并计数”。
注1:如采样的悬浮粒子中含有纤维,则可以向 M 描述符增加一个单独的纤维描述符,表示格式为“Mfiber(a;b;);c”。
注2:IEST-G-CC1003[4]中给出了检测大于5μm 悬浮粒子浓度的合适方法。
C.3 悬浮大粒子的计数
C.3.1 原理
这些检测方法表述了如何对粒径阈值大于5μm 的粒子(大粒子)进行测量。C.3 中所述的测量步骤引自IEST-G-CC1003:1999[4]。测量可在洁净室或洁净区的空态、静态或动态中的任意状态下进行。
测量是为了确定大粒子浓度,5.1,5.2和5.4的原则可适用。要强调样本的采集和处理要得当,以尽量减少样本中大粒子的损失。
C.3.2 通则
采样点数量、位置选择和所需的数据量宜符合表 A.1中的要求。对于大粒子的最大允许浓度、颗粒的当量直径和测量方法的指定,客户和供应商宜达成一致。也可根据客户和供应商之间的协议,使用其他能提供等效数据和等效精度的方法。如果没有其他议定的方法,或在有争议的情况下,宜使用本附录中的基准方法。
C.3.3 样品处理注意事项
当处置大粒子时,需要当心样本的采集和处理。IEST-G-CC1003:1999[4]中,对未用等动力采样或非等动力采样将粒子输送到测量点的系统方面的要求有完整的述说。
C.3.4 大粒子的测量方法
大粒子的测量方法有两大类。不同的测量方法所得到的结果不能比较。同样,不同方法之间也不存在相关性。C.3.4.1和C.3.4.2中对不同方法以及相应方法下的粒径信息作了概述。
C.3.4.1 原位测量
使用粒子飞行时间计数器或光散射粒子计数器(LSAPC)对大粒子的浓度和粒径进行原位测量:
a) LSAPC 测量(C.4.1.2)给出的大粒子粒径依据的是其当量光学直径;
b) 粒子飞行时间计数器测量(C.4.1.3)给出的大粒子粒径依据的是其空气动力学直径。 C.3.4.2 采样
用过滤或惯性效应进行粒子采集,然后用显微镜测量所采集粒子的数量和尺寸:
a) 过滤器采集加显微测量(C.4.2.2)测出的大粒子是以商定粒径为准的;
b) 串级撞击器采集加显微测量(C.4.2.3)测出的大粒子是以所选的报告粒径为准的。
C.4 大粒子的测量方法
C.4.1 无粒子采集的大粒子测量方法
C.4.1.1 通则
不从空气中采集的粒子也能测量大粒子。此过程包括对悬浮在空气中的颗粒的光学测量。空气样本以特定流率通过光散射粒子计数器(LSAPC)时,该仪器可测量粒子的光学当量直径或其空气动力学直径。
C.4.1.2 光散射粒子计数器(LSAPC)测量
使用LSAPC测量大粒子与附录A 中悬浮粒子计数测量的程序相同,仅有一点例外。例外的是因只测大粒子的数据,所以在此情况下对LSAPC 粒径小于1μm 的粒子没有灵敏度要求。 需要注意确保在每一采样点上LSAPC 都是直接对空气进行采样的。LSAPC 的采样流量不小于28.3L/min 且宜配备在单向流区域中进行等动力采样的探头尺寸。在非单向流区域,采样探头入风口垂直向上。
采样探头宜选择能在单向流区域进行近似等动力采样的探头。如不能满足此条件,则采样探头的入风口朝向气流的主要方向;在气流不受控或不可预测的区域(如非单向流),采样探头入风口垂直向上。采样探头与LSAPC 传感器之间的连接管长度越短越好。采集对于粒径≥1μm 粒子的样本,采样管的长度和直径不宜超过生产厂商建议的尺寸,其长度一般不超过1 m。
宜尽量减少因大粒子损失造成的采样系统采样误差。
将LSAPC 的粒径范围设置为只检测大粒子,同时还宜记录一个粒径
C.4.1.3 飞行时间粒径测量
测量大粒子的尺寸可用飞行时间测定仪。空气样本被仪器吸入后,经喷嘴在半真空的测量区膨胀加速。在测量区内,空气样本中的任何粒子都会和空气一起被加速。粒子的加速度与其质量成反比。在测量点处利用空气流速和粒子速度间的关系,可用以确定粒子的空气动力学直径。知道测量区的压力和周围环境空气的压力差,就可直接计算出空气流速。粒子速度则是通过其在两束激光之间的飞行时间确定的。 飞行时间测定仪可测量的空气动力学直径至20μm,样本采集方法与使用 LSAPC测量大粒子的方法相同。另外,确定报告的粒径范围,该仪器也采用与LSAPC 同样的方法。
C.4.2 有粒子采集的大粒子测量方法
C.4.2.1 通则
可从空气中采集粒子进行大粒子测量。空气样本以规定的流量传送到收集装置中。使用显微分析法对收集的粒子计数。
注:也可测定所采集的粒子的质量,因为空气洁净度是按数量浓度决定的,所以本文件不涉及此项。
C.4.2.2 过滤器采集和显微测量
选择一种膜过滤器及夹具或一个预组装的气溶胶监测仪;膜宜使用2μm 或更小孔径的。 在过滤器支架上贴上标签以识别支架位置及设施。将出口与真空相连并按所需流量吸出空气。如果大粒子的采样点是在单向流区域,宜按满足膜过滤器或气溶胶监测仪入风口的等动力采样,且入口面向单向流。
使用公式(C.1)确定所需的采样量。
从过滤器夹具上或气溶胶监测仪上取下盖子并存放在洁净处。在客户和供应商议定的采样点上进行空气采样。如果使用便携式真空泵将空气抽通过薄膜过滤器,泵的排气宜经过一个合适的过滤器后排放或者排放到洁净设施外。采样完成后,将“滤膜夹”或气溶胶监测仪的盖子盖回原位。样本夹具的运输方式宜使滤膜在任何时候都保持在水平位置,且样本从捕获到分析的时间段内,不会受到振动或冲击。对过滤器表面的颗粒进行计数(见 ASTM F312-08[3])。
C.4.2.3 用串级撞击器采集和测量
在串级撞击器中通过粒子的惯性碰撞实现粒子的分离。采样气流通过一系列孔径渐小的喷嘴,较大的粒子直接沉积在最大孔径之下,较小的粒子则逐次沉积在撞击器的各级。空气动力学直径直接与冲击流路中粒子采集区域相关。
此种类型的大粒子采集和计数的串级撞击器,可用于按粒子浓度划分的空气洁净度测量。在此情况下,粒子光沉积在可移动板的表面上,随后可进行显微镜检测。这种串级撞击器,通常使用0.47L/s或更大的采样流量。
C.5 大粒子计数步骤
测定客户和供应商所商定粒径范围粒子浓度“ISO M(a;b);c”,并报告数据。
在每个采样点,空气采样量保证至少能检测出选定粒径粒子浓度限值内所需的20颗粒子。
每个采样点的单次采样量VS 由公式(C.1)确定。
如需要大粒子浓度的稳定性信息,以客户和供应商之间约定的时间间隔,在选定的位置进行三次或
更多次的测量。
放置好所选仪器的采样探头并进行试验。
C.6 大粒子采样的检测报告
检测报告记录下列检测信息和数据:
仪器对粒子尺寸产生响应的定义;
测量方法;
M 描述符作为ISO 级别的补充说明,其水平或限值的测量方法; d) 所用的每个检测仪和设备的型号和校准状态; e) 设施的ISO 等级;
大粒子粒径范围和所记录各粒径范围的数量;
仪器入风口采样流量和通过传感器的流量;
采样点位置;
分级采样方案或检测采样方案;
占用状态;
与测量有关的其他数据,如大粒子浓度的稳定性。
C.7 用大粒子描述符说明ISO5级洁净室中粒径≥5μm的粒子
用LSAPC 测量粒径≥5μm 悬浮粒子的浓度为29p/m3,其表述形式为“ISO M(29;≥5μm); LSAPC”,为20p/m3 时,其表述形式为“ISO M(20;≥5μm);LSAPC”(见表1,脚注f)。
附录 D
(资料性)
序贯采样法
D.1 背景和局限
D.1.1 背景
对于某些以很低的粒子浓度限值进行洁净度分级的洁净受控环境,序贯采样是非常适用的技术,它可减少采样量和采样时间。序贯采样技术可以测量计数速率并可能预测出符合或不符合ISO 等级要求。如果被采空气明显地好于或明显地差于规定级别关注粒径的浓度限值时,序贯抽样法通常可大幅度减少采样量和采样时间。
即使浓度接近规定限值的,也有一定作用。序贯采样法最适合于空气洁净度期望达到ISO4级或更好的洁净环境,也适用于关注粒径的粒子浓度限值很低时的洁净度级别。这种情况下,可能需要很大的采样量才能测到所预期的20颗粒子计数。
注:有关序贯采样法的更多资料,见IEST-G-CC1004[5]或JISB9920:2002[6]。
D.1.2 局限
序贯抽样法的主要局限有:
a) 只有当最大粒径粒子单次采样的预期计数
D.2 序贯采样法的依据
此方法基于实时累积粒子计数与参照计数值的比较。参照数值由上、下边界限值的求值公式得出公式(D.1)的公式(D.2)。
根据公式(A.2),单次采样量VS 可按公式(D.3)计算。
总采样时间tt 计算见公式(D.4)。
预期计数由公式(D.5)确定。
为了便于理解,图D.1给出了序贯采样法的图解。在每个点进行空气采样时,计数中的粒子总数要与规定总采样量相应比例体积的预期计数不断进行比较。当计数中的粒子总数少于相应预期计数的下限值Cpass时,被采样空气达到指定等级或浓度限值要求,停止采样。
当计数大于预期计数的上限值Cpass时,被测环境不符合指定等级或浓度限值的要求,停止采样。当实测计数值保持在上下限之间,采样将持续到实测计数达到20,或者累积采样量V 与最小采样量VS相同时,此时预期计数成为20。
在图D.1中画出了在采样既未停止、实测计数也未达到20时,实测计数值C 与预期计数E 之间的关系。
D.3 采样规程
图D.1 绘制出公式(Dl.)和公式(D.2)设定的边界线,这两条边界线在限值E=20 处截止,代表采集一个完整样本所需的时间,而C=20则为允许的最大实测计数。

图D.1 按序贯采样法合格与不合格的边界线
图D.1中准确的画出处在规定级别限值的空气粒子浓度的预期值与实测计数值间的关系。对应于时间流逝的是计数预期值的增加。如果粒子浓度处于级别限值浓度,E=20代表的就是累积到全样本采样量所需的时间。
依据图D.1,序贯采样法的步骤如下:
a) 按操作时间记录粒子总数;
b) 计算公式(D.5)中描述的预期计数;
c) 如图 D.1 所示,绘制总计数与预期值之间的关系; d) 比较计数与图 D.1 中的上限和下限;
e) 如果累积实测计数穿过上限,在该点停止采样,认为空气不符合规定的等级限值; f) 如果累积实测计数穿过下限,在该点停止采样,认为空气符合规定的等级限值;
g) 如果累积实测计数保持在上限与下限之间,采样将继续进行,如果在规定的采样周期内,总计数达到或小于20,并且未穿过上限,则空气符合指定级别的限值。
D.4 序贯采样示例
D.4.1 示例1
a) 使用序贯采样法评估一个目标洁净度为ISO3 级(0.1μm,1000p/m3)的洁净室。此方法可以观测计数速率,并预测是否符合要求。
注:粒子计数器的采样流量为0.0283 m3/min(28.3L/min或0.47L/s)。
b) 测量前的准备——— 限值计算方法。
表D.1列出了计算结果。首先,预期计数是通过采样时间进行计算的。其次,上限相关计数和下限相关计数是通过公式(D.1)和公式(D.2),或图D.1计算得来的。
表D.1 上限和下限相关计数的计算列表

c) 使用序贯采样法的计算。
第一次测量时的预期计数为2.4;当实测计数大于或等于7时,结果判定为“不合格”。然而,当该采样周期的实测计数处在和6之间时,不能对结果做出判定。这种情况下将继续采样。随采样的继续,累积的实测计数会增加,直至达到规定的单次采样量或者实测计数穿越Cpass或Cfail两条线中的某一条时,才停止采样。 如果在规定的采样周期内,总计数达到或小于20,且未穿越上限,则空气洁净度级别测定结果判为“符合”要求。如果在完整采样周期结束前,累积实测计数小于或等于Cpass的取整值,则此时停止采样,级别测定结果判为“符合”要求。
D.4.2 示例2
使用序贯采样法对一个目标洁净度为ISO3 级(0.5μm,35p/m3)的洁净室进行评估。 粒子计数器的采样流量(Q)为0.0283 m3/min(28.3L/min或0.47L/s)。
根据公式(D.3)计算单次采样体积VS。
根据公式(D.4) 计算总采样时间tt 。这评估的是采样点所需的最长采样时间, 使用序贯采样法可以缩短这个时间。
计算结果列表:
1) 根据公式(D.5) 计算预期计数E ;
2) 根据公式(D. .1) 和公式(D.2) 计算实测计数的上限和下限;
3) 计算结果如表 D.2 和图 D.2 所示。
表 D.2 总采样量、 预期计数、 上限和下限的计算结果

在图 D.2 中画出了实测计数的上下限与计数获取时间之间的关系。其所在列表示的是在1 min 的时间间隔内的限值(上限和下限)。

图D.2 序贯采样法中合格与不合格边线图形
使用表D.3中的步骤对累积实测计数和上下限进行比较。
a) 不合格要求的情形如表D.3 所示。
表 D.3 序贯采样粒子计数举例
第一次测量时的预期计数为1.0;当实测计数大于或等于5时,累积实测计数判定为“不合格”。采样周期的观察计数在和5之间时,不能对结果做出判定。在本示例中,继续采样。只要采样继续,累积的实测计数就会增加。但是,由于预期计数和相关计数都在增加,所以很容易进行判断。在第5次测量(t=300s)时,累积实测计数为11,超过了上限值(10),于是判定为“不合格”。
b) 符合要求的情形如表D.4 所示。
表 D.4 序贯采样粒子计数举例
第一次测量时的预期计数为1.0;当实测计数大于或等于5时,累积实测计数判定为“不合格”。然而,当在这次采样周期的观察计数在和5之间时,不能对结果做出判定。在本例中,继续采样,但是累积的实测计数并未增加。在第4 次测量(t=240s)时,累积实测计数为0,等于下限值(0),于是结果判定为“合格”。
附 录 E
(资料性)
非整数洁净度等级和粒径阈值的说明
E.1 非整数洁净度等级
需要非整数洁净度等级的宜使用表E.1。
表E.1给出了所允许的非整数洁净度等级。粒子测量上存在的不确定性使得级别增加不宜低于0.5,表中的脚注说明了由于采样和粒子采集的局限性而带来的限制条件。
表E.1 粒子浓度的非整数洁净度等级

表中所有浓度都是累积浓度,例如ISO5.5 级,0.5μm 粒径的11100 颗中,包括所有粒径大于或等于该粒径的粒子。
对这些浓度需进行大量的空气采样才能用于分级。可以使用序贯采样法;见附录D。
由于粒子浓度太高,表格的这一区域浓度限值不适用。
由于低浓度时粒子采样和统计的局限性,此区域分级不适用。
由于采样系统可能的粒子损失和样本收集的局限性,使得低浓度和粒径大于1μm 时对该粒径进行的分级不适用。
该级别只适用于动态。
E.2 中间粒径
对任何整数或小数等级的非表列粒径有要求的,可使用公式(E.1)计算该关注粒径的最大允许粒子浓度。
附录 F
(资料性)
检测仪器
F.1 说明
本附录描述了附录 A、附录C 和附录D 中的检测所宜使用的测量仪器。
在本附录中,表F.1和表F.2中给出了每款仪器的基本要求。测量仪器的选用遵从用户和供应商之间的协议。
本附录是资料性的,且不宜妨碍有更好仪器时对更好仪器的使用。其他检测仪可能也是适合的,可依据需方和供方之间的协议使用。
F.2 仪器技术要求
附录 A、附录C 和附录D 中提到的检测宜使用下列测量仪:
光散射(离散)粒子计数器(LSAPC);
注:LSAPC 的规格参数由GB/T29024.4—2017给出。
离散大粒子计数器;
飞行时间测径仪;
用滤纸采集粒子的显微测量。见 ASTM F312-08[3]。
这些仪器的术语和定义已在第3章中给出。
表F.1 离散大粒子计数器的技术要求
表F.2 飞行时间测径仪的技术要
来源:GMP办公室、制药生产技术
- 上一篇:室外空气百分比的计算与使用(下)
- 下一篇:粒子计数器计量院校准VS原厂校准
















网站首页
产品中心
新闻资讯
一键拨打